Educational material and tools#

Explanations of general EM phenomena, descriptions of particular implementation details of empymod, comparisons of numerical vs. analytical solutions, and other useful examples.

Definition of the coordinate system in empymod

Definition of the coordinate system in empymod

Difference between magnetic dipole and loop sources

Difference between magnetic dipole and loop sources

Calculating a Digital Linear Filter

Calculating a Digital Linear Filter

Digital Linear Filters

Digital Linear Filters

Comparison of half-space solutions

Comparison of half-space solutions

Transform utilities within empymod for other modellers

Transform utilities within empymod for other modellers

Adding random noise to frequency-domain CSEM data

Adding random noise to frequency-domain CSEM data

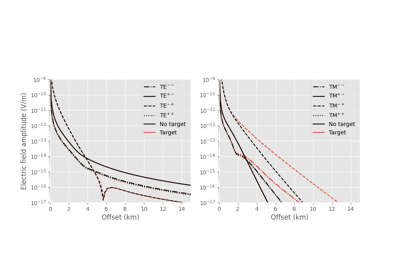
Contributions of up- and downgoing TM- and TE-modes

Contributions of up- and downgoing TM- and TE-modes

Gallery generated by Sphinx-Gallery